Skip to main content
HairCited

Dutasteride Gambar

9 gambar dari penelitian yang ditinjau oleh rekan sejawat

Semua Asam Lemak Omega-3 Caffeine (Topikal) Dutasteride Finasteride Keratin Kolagen L-Cysteine Microneedling Minoxidil Minyak Rosemary MSM Selenium Seng Spironolactone Terapi Laser Tingkat Rendah Terapi PRP Vitamin B12 Vitamin D Zat Besi
All Types Chart Diagram Photograph Flowchart Forest Plot Micrograph Other
Figure 4
Figure 4 Diagram

Experimental findings on adverse effects of 5-alpha-reductase inhibitors in animal models are summarized, providing mechanistic insights into how these drugs may affect the central and peripheral nervous systems.

Post-finasteride syndrome: An emerging clinical problem.

Figure 5
Figure 5 Diagram

Proposed pathophysiological mechanisms underlying the persistent side effects of finasteride are outlined, connecting hormonal disruption to epigenetic changes and altered gut microbiota composition.

Post-finasteride syndrome: An emerging clinical problem.

Fig. 3. Side effects of treatment with 5 alpha-reductase inhibitors in experimental models. For details, see text.
Figure 6 Diagram

Side effects of treatment with 5-alpha-reductase inhibitors observed in experimental models are comprehensively catalogued, covering reproductive, neurological, and metabolic endpoints.

Post-finasteride syndrome: An emerging clinical problem.

Figure 5
Figure 5 Diagram

A proposed treatment algorithm for female pattern hair loss incorporates finasteride as a potential alternative when topical minoxidil fails, including appropriate patient selection criteria and monitoring requirements.

Finasteride and Its Potential for the Treatment of Female Pattern Hair Loss: …

Figure 5
Figure 5 Forest Plot

Forest plot from the meta-analysis comparing dutasteride versus finasteride for hair count improvement in men with androgenetic alopecia over a 24-week treatment period.

The efficacy and safety of dutasteride compared with finasteride in treating men …

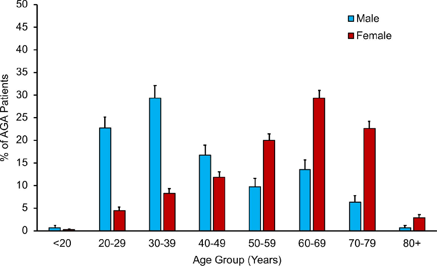
Figure 3
Figure 3

Epidemiological landscape of androgenetic alopecia in the US: An All of Us …

Figure 4
Figure 4

Epidemiological landscape of androgenetic alopecia in the US: An All of Us …

Figure 5
Figure 5

Epidemiological landscape of androgenetic alopecia in the US: An All of Us …

Fig 4. Likelihood of AGA reporting for females by comorbid condition. All data is represented as odds ratios of the condition compared to control with corresponding p-value and interpretation.
Figure 6

Fig 4. Likelihood of AGA reporting for females by comorbid condition. All data is represented as odds ratios of the condition compared to control with corresponding p-value and interpretation.

Epidemiological landscape of androgenetic alopecia in the US: An All of Us …